讲座题目:Some progress for the global existence and boundedness of high-dimensional chemotaxis-haptotaxis models with re-establishment mechanisms
讲座时间:2024年6月25日(星期二)下午15:30-16:20
讲座地点:kaiyun开云官方网站犀浦校区3号教学楼 X30423
主讲人简介:
郑甲山,烟台大学教授,硕士生导师, 山东省杰出青年基金和山东省优秀青年基金获得者,获得首届山东数学会青年数学奖。主要面向生物科学与力学及物理学、医学与流体动力学等领域偏微分方程的数学问题,主要开展趋化-(纳维)-斯托克斯相关模型、非线性抛物型方程与流体动力学方程等学科领域的热点问题研究。主持(完成)山东省杰出青年基金、山东省优秀青年基金、国家自然科学基金、中国博士后特别资助和博士后面上资助、山东省自然科学青年基金等多项基金。并以第一或者通讯作者在《CVPDE》(3篇)、《M3AS》(1篇)、《JDE》(13篇)、《Nonlinearity》(2篇)等顶级期刊发表SCI论文70余篇,包含4篇 ESI 高被引论文,连续三年入选斯坦福大学发布的“全球前2%顶尖科学家榜单”。已被包括国际数学家大会45分钟报告人、长江学者特聘教授、顶级期刊《M3AS》主编、《JDE》等著名杂志编委在内的多名数学专家引用总次数800余次。应国际物理科学院院士Hari M. Srivastava教授所邀在 Springer杂志合作撰写趋化-N-S相关模型的专著。应邀担任国际期刊《American Journal of Applied Mathematics》、《Mathematics and Computer Science 》和《World Journal of Mathematics and Statistics》和《Applied and Computational Mathematics》的编委;应邀参加中国数学会第十三次全国代表大会并作报告;应邀担任美国《Mathematical Reviews》评论员和德国《数学文摘》评论员。
讲座内容简介:
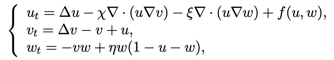
The chemotaxis--haptotaxis model with remodeling of non-diffusible attractant

is considered in a bounded domain Ω⊂ℝ3 with smooth boundary, where X>0,ξ>0 as well as η>0 are given parameters. This model is initially proposed by Chaplain and Lolas (2006) \cite{Chaplain7} to describe the interactions between cancer cells, the matrix degrading enzyme and the host tissue in a process of cancer cell invasion of tissue (extracellular matrix). Assume that f(u,w)=μu(1−u−w). The paper develops an analytical approach which consists in a combination of energy-based arguments and maximal Sobolev regularity theory, and which allows for the construction of global bounded classical solutions to an associated initial-boundary value problem under the assumption that μ is appropriately large. After conducting thorough research and incorporating the essence of numerous prior studies, this paper not only extends the findings of these previous works (see {Remark} 1.1) but also deepens our understanding of chemotaxis-haptotaxis models. Notably, we have successfully demonstrated for the first time the boundedness of solutions in a three-dimensional chemotaxis-haptotaxis model featuring the remodeling of non-diffusible attractants. This significant discovery undoubtedly adds new dimensions to the theoretical framework of chemotaxis-haptotaxis models. Furthermore, the achievement of this milestone not only broadens the scope of research in chemotaxis-haptotaxis models but also provides researchers in related fields with fresh perspectives and ideas, paving a new path for future studies. At the same time, some extensions will be made to this model, and some methods of this model will be used to summarize and promote relevant models.